研究背景
尽管石油基聚合物已被广泛研究用于介电电容器,但它们通常不可降解,容易造成严重的环境压力。纤维素基介质电容器被认为是下一代储能材料,其广泛应用有利于解决日益严重的环境污染问题。然而,纤维素优异的亲水性限制了其在潮湿环境中的应用。此外,氢键的强自组装行为容易导致纤维素薄膜收缩,从而难以制备高质量的纤维素薄膜。醋酸纤维素(CA)是纤维素的酯化产物,由于纤维素分子中的羟基被乙酰基取代,氢键力减弱,这不仅降低了CA的亲水性,而且赋予了CA良好的成膜性能。
文章要点
在这项工作中,我们通过溶液浇铸法制备了CA基三明治结构复合薄膜。与具有高介电常数(e)但低击穿强度(Eb)的CA相比,聚甲基丙烯酸甲酯(PMMA)具有高Eb和低介电损耗(tand)。在这种结构中,PMMA外层作为绝缘层赋予复合薄膜更高的Eb,而CA中间层作为极化层增加了e。此外,层间的宏观界面也有利于提高e。密度泛函理论(DFT)模拟证实,CA不仅具有较低的最低未占分子轨道(LUMO)能级,有效地阻碍了电子的运动,而且具有多个活性位点来捕获电荷载流子,从而显著降低了高电场下的传导电流。以低e的PMMA作为外层可以限制载流子的注入,三明治结构的复合薄膜可以使电场均匀化。最终,复合薄膜即使在150 ℃下也表现出优异的储能性能。例如,M-CA4-M复合薄膜在644.92 MV/m下的最大放电能量密度为4.72 J/cm3,充放电效率为76.65%,远优于市售的双向拉伸聚丙烯(BOPP)薄膜。这项研究证实了CA基三明治结构复合薄膜在高温介电储能领域的潜在应用。
图文展示

图1. (a) CA, PMMA和CA/PMMA共混物的红外光谱。(b, c) 不同复合薄膜的红外光谱。 (d-f) CA,PMMA和M-CA4-M复合薄膜的O1s高分辨率XPS光谱。
图2. (a) 不同复合薄膜介电常数频谱图。 (b) 不同复合薄膜介电损耗频谱图。(c) 介电性能机制示意图。(d) 不同复合薄膜103 Hz时介电性能对比图。(e) 不同复合薄膜电导率频谱图。

图3. (a) CA,PMMA各自HOMO和LUMO能级图。(b) CA,PMMA静电势分布图。CA单层薄膜和M-CA4-M复合薄膜的(c, d) 电势和(e, f) 电场分布有限元模拟图。

图4. (a-e) 不同复合薄膜150℃的D-E loops。(f) 不同复合薄膜150℃最大场强下D-E loops的比较。(g) 不同复合薄膜150℃最大场强下净极化汇总。(h) 不同复合薄膜150℃漏电流图。 (e) 不同复合薄膜150℃储能性能。

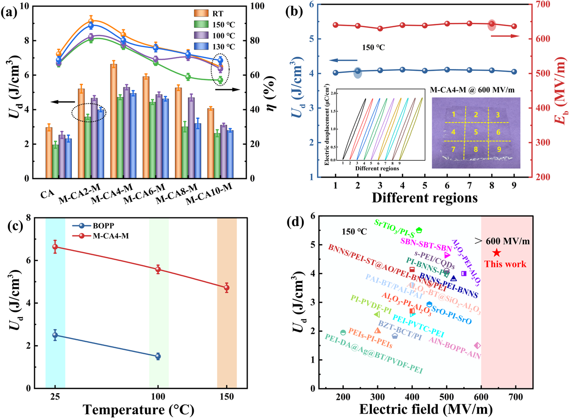
图5. (a) 不同复合薄膜不同温度下最大击穿电场储能性能比较。 (b) 600 MV/m场强下M-CA4-M复合薄膜不同区域储能性能汇总。 (c) 不同温度下M-CA4-M复合薄膜与BOPP储能密度对比。(d) M-CA4-M复合薄膜与文献中报道的其他薄膜储能密度对比。
本工作以“Sandwich-structured cellulose acetate dielectric films toward high-temperature energy storage application”为题发表在期刊《Carbohydrate Polymers》(IF: 12.5,中科院化学大类1区)。论文的第一作者为哆啦AV梦
2021级博士生张帆,通讯作者为哆啦AV梦
杨静晖副教授和王勇教授。
Fan Zhang, Xin Li, Zhi-yuan Lan, Nan Zhang, Jing-hui Yang*, Yong Wang*. Sandwich-structured cellulose acetate dielectric films toward high-temperature energy storage application. Carbohydrate Polymers, 2025, 366, 123934.
文章链接://doi.org/10.1016/j.carbpol.2025.123934

王勇教授团队入选2020年四川省青年科技创新研究团队,团队主要从事高分子材料增强增韧、功能(导热、介电、相变、阻燃等)高分子复合材料的研究。现有教授1人、副教授2人、高工1人、讲师3人、博士后1人。团队主持包括9项国家自然科学基金在内的科研项目60余项,获2018年度四川省自然科学二等奖和2021年度四川省技术发明奖二等奖。在Prog. Polym. Sci.、Nano Micro lett.、Macromolecules等期刊发表高质量论文300余篇,ESI高被引论文6篇;主编教材1部,参编英文专著1部;申请或授权国家发明专利30余项。