研究背景
聚合物基电介质材料具有出色的柔韧性和易加工性,已在电子和电力设备中得到广泛应用。然而,在不引入任何其他成分的情况下以可行的方式制造全有机聚合物电介质仍然是一个严峻的挑战。纤维素基电介质材料被认为是下一代绿色储能材料,其广泛应用有助于解决日益严重的环境污染问题。但通常利用溶剂再生方法制备得到的纤维素基电介质膜材料存在大量的空洞和缺陷,导致其击穿强度较差,无法满足高性能介电电容器的要求。因此如何通过调控纤维素薄膜分子链的微观结构,改善电介质薄膜的质量,以获得具有高击穿强度的纤维素基电介质材料具有重要意义。
文章要点
本文通过控制基材与纤维素薄膜之间的界面相互作用,调控纤维素分子链的取向排列程度,从而制备分子链高度取向的再生纤维素薄膜,显著降低薄膜的内部缺陷,提高其储能性能。研究发现,由于聚甲基丙烯酸甲脂(PMMA)的C=O和纤维素的O-H之间具有很强的相互作用,PMMA基底为纤维素分子链提供了锚点,激发纤维素分子链的定向有序排列,有效减少纤维素薄膜中的缺陷和气孔。结果表明,纤维素内部的超高密度抑制了因极化引起的电致伸缩,抑制了电子注入和电子输运,有利于提高纤维素的机械击穿强度和电击穿强度。通过该方法制备的再生纤维素薄膜(A8)具有751 MV m-1的超高击穿强度和10.39 J cm-3的放电能量密度,并且充放电效率高达93.6%。本研究不仅为制备高性能聚合物基电介质材料开辟了新的道路,也证实了纤维素在电介质储能和应用方面的巨大潜力。

图文展示

图1. 纤维素薄膜的制作过程和基底诱导的分子堆积状态示意图:包括高度有序再生纤维素薄膜(HO-RC,Ax)中 PMMA 基底诱导的纤维素大分子优先取向和无序再生纤维素薄膜(DO-RC,Ex)中 PTFE 基底诱导的无序分子堆积。

图2. 再生纤维素薄膜的结构特征如图所示:(a)A8和E8薄膜的TGA和(b)DTG曲线;(c)A8和E8薄膜的傅立叶变换红外光谱;(d)通过DMA测量获得的薄膜tanδ曲线;(e)A8和E8薄膜的WAXD曲线;(f)A8和(g)E8薄膜的偏振傅立叶变换红外光谱;(h)A8样品的3439 cm-1处和(i)E8样品的3442 cm-1处的强度变化与偏振角的函数关系分别如(f)和(g)所示。

图3. (a)PMMA、CNFs、A8和PMMA/CNF复合材料以及(b)不同厚度Ax薄膜的傅立叶变换红外光谱;(c)E8和Ax薄膜之间氢键能量(EH)和键距(R)的比较;(d)Ax薄膜的TGA和(e)DTG曲线;(f)所示薄膜密度的比较。

图4. 在 23 ℃ 下测量的A8和E8薄膜的储能性能:(a)和(b)分别是 A8 和 E8 薄膜的单极 D-E 环;(c)和(d)分别比较A8和E8薄膜的电位移和残余极化 ;(e)和(f)分别为 A8 和 E8 薄膜的双极 D-E 环;(g)根据单极 D-E 循环计算出的放电能量密度和电荷放电效率与电场的函数关系;(h)A8、E8 样品与文献中报道的选定纤维素电介质的储能性能比较。

图5. A8薄膜在加热和电疲劳试验中的储能性能:(a)在23、90和120℃下测得的Ue和η值的变化;(b)在 120℃下测得的A8薄膜的储能性能与文献中报道的在70-150℃温度范围内测得的其他选定电介质的储能性能的比较;(c)如图所示,在23℃下测得的A8薄膜在不同电场中的循环性能。

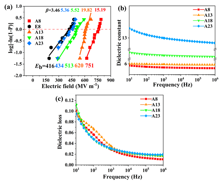
图6. 所示薄膜的介电性能:(a)所示不同薄膜在室温下击穿强度的 Weibull 分布;(b)所示薄膜的介电常数和介电损耗。
本工作以“Polymethyl Methacrylate Substrate Inducing Highly Ordered Regenerated Cellulose Films toward Ultra-High Breakdown Strength and Charge-Discharge Efficiency”为题发表在高分子科学领域权威期刊Macromolecules上。论文的第一作者为哆啦AV梦
2020级博士生谢顼和2022级硕士生罗睿,通讯作者为哆啦AV梦
王勇教授。
文章链接://doi.org/10.1021/acs.macromol.4c00416


王勇,教授、博士生导师、德国洪堡学者,主要从事结构/功能一体化先进高分子复合材料的研究。主持国家自然科学基金(6项)、教育部新世纪优秀人才基金、四川省青年科技创新团队、四川省科技厅重大成果转化项目、四川省杰出青年基金等项目30余项;在Prog. Poly. Sci.、Macromolecules等期刊发表论文300余篇,他引9000余次,其中ESI高被引论文4篇,期刊年度热点论文1篇;授权发明专利24件。研究成果获得2021年度四川省技术发明二等奖、2018年度四川省自然科学二等奖、2006年度全国百篇优秀博士论文提名论文等。